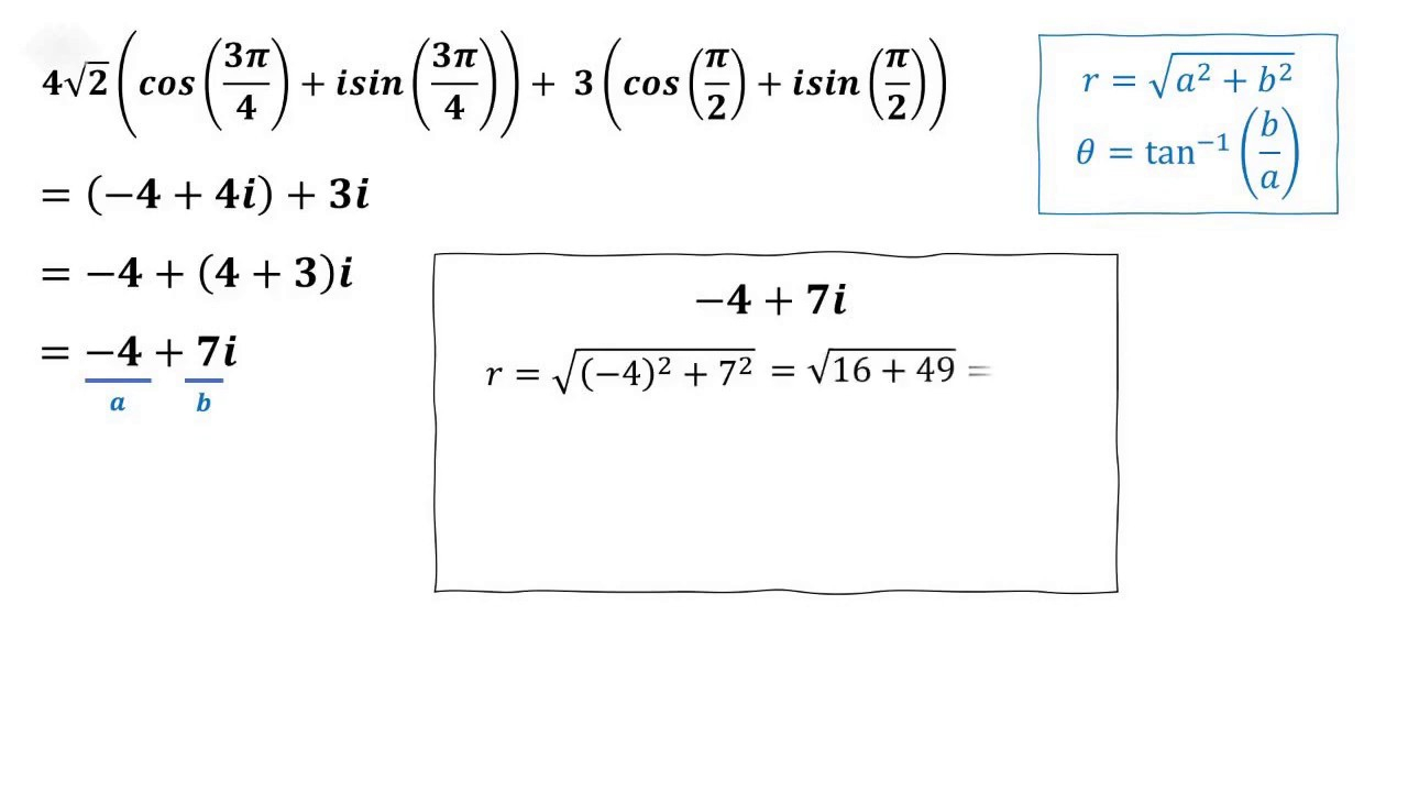
Adding Complex Numbers Polar Form YouTube is a free printable for you. This printable was uploaded at January 18, 2023 by tamble in Addition.

Adding Complex Numbers Worksheet - Sophisticated supplement drills are excellent ways to present college students to algebra principles.
Adding Complex Numbers Polar Form YouTube can be downloaded to your computer by right clicking the image. If you love this printable, do not forget to leave a comment down below.


